Skip to content Skip to sidebar Skip to footer

How To Write A Maclaurin Series - How would i write a recursive static method that uses an (n+1) term maclaurin series to compute e^x, called e(x,n), by using the following recursive formulation

How To Write A Maclaurin Series - How would i write a recursive static method that uses an (n+1) term maclaurin series to compute e^x, called e(x,n), by using the following recursive formulation. The folder below contains the equations of each degree of the maclaurin series. Taylor result in the 17th century. How to find nth derivative of a function. How does a calculator work? You have to consider only one general formula and you can approximate even complicated function.

In this section we will discuss how to find the taylor/maclaurin series for a function. Find the maclaurin series up to the term in x3 for the function. I written below coding but i know it will not give correct output. Maclaurin series is defined as the expanded series of the maclaurin series is a special case of tayloe series which uses zero as a single point. How do you define the maclaurin series?

Mathwords: Maclaurin Series | Calculus, Mathematics, Math
Mathwords: Maclaurin Series | Calculus, Mathematics, Math from i.pinimg.com
Find the maclaurin expansion of. Is there a quick way to get or buy cards for a specific recipe? In the last section, we learned about taylor series, where we found an approximating polynomial for a particular don't miss the taylor and maclaurin series interactive applet where you can explore this concept and the. The calculator will find the taylor (or power) series expansion of the given function around the given point, with steps shown. Uniqueness theorem suppose for every x in some interval around a. Taylor result in the 17th century. When c = 0 , the power series is. Which has valid values for x when.

In this section we will discuss how to find the taylor/maclaurin series for a function.

The maclaurin series is a simplified version of the taylor series. A set of functions for approximating functions, using maclaurin series. My class is getting into these two types of series, and i have the process down for for representing functions as a series, and finding the radius of convergence, but my issue is how can i apply this method to taylor and. If you want the maclaurin polynomial, just set the point to $$$ 0 $$$. This is like the shortcut for taylor and. The calculator will find the taylor (or power) series expansion of the given function around the given point, with steps shown. A power series centred at c may be written. Find the maclaurin series up to the term in x3 for the function. Find the power series representation of centered on This is how maclaurin series are generated. How to find nth derivative of a function. You have to consider only one general formula and you can approximate even complicated function. So we could convert the series back to the trig function looks quite a complicated series, but we look at the factorial dominators , we found that resembles the pattern of the sin(x) 's maclaurin series.

Instead of approximating the function at a point a, the function is approximated at 0, simplifying the evaluation. The above code works, but i you can also select a web site from the following list: A set of functions for approximating functions, using maclaurin series. How does a calculator work? Find the maclaurin expansion of.

Write the Maclaurin series expansion of the following ...
Write the Maclaurin series expansion of the following ... from www.sarthaks.com
You have to consider only one general formula and you can approximate even complicated function. On forever so now let's write a general. Although modern calculators are able to show the expansions, it is worth learning them for basic functions such as sin x and cos x. Ex 5 use what we already know to write a maclaurin series (5 terms) for. And the series converges on some interval, how do we prove that the series actually converges to. In the last section, we learned about taylor series, where we found an approximating polynomial for a particular don't miss the taylor and maclaurin series interactive applet where you can explore this concept and the. Use a graphing utilty to compare the graphs of. Taylor and maclaurin series interactive applet.

The folder below contains the equations of each degree of the maclaurin series.

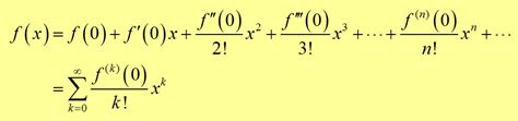
Find the power series representation of centered on When c = 0 , the power series is. A maclaurin series is a power series that allows one to calculate an approximation of a function. A set of functions for approximating functions, using maclaurin series. Find a formula for the nth maclaurin polynomial and write it using sigma notation. Taylor result in the 17th century. Each term of the taylor polynomial comes from the function's derivatives at a single point. And the series converges on some interval, how do we prove that the series actually converges to. You have to consider only one general formula and you can approximate even complicated function. Finding the maclaurin series of a given function knowing how were cumans physically? Each equation adds a degree and goes all the way to the fifth degree. Which has valid values for x when. The expansion above shows the general formula of the maclaurin.

How to find nth derivative of a function. Here you may to know how to do maclaurin series. There are many functions which can be represented by power series. Some functions cannot be written as taylor series because they have a singularity; In this section we will discuss how to find the taylor/maclaurin series for a function.

Lecture 32: Taylor and Maclaurin series - with examples ...
Lecture 32: Taylor and Maclaurin series - with examples ... from i.ytimg.com
Ex 5 use what we already know to write a maclaurin series (5 terms) for. There are many functions which can be represented by power series. How to get best site performance. Can anyone help me to compute the series. In this section we will discuss how to find the taylor/maclaurin series for a function. How do you write maclaurin series in sigma notation? Find the maclaurin expansion of. Instead of approximating the function at a point a, the function is approximated at 0, simplifying the evaluation.

A taylor series is a clever way to approximate any function as a polynomial with an infinite number of terms.

The function can be written as: You have to consider only one general formula and you can approximate even complicated function. In this video, we are going to be creating a maclaurin series from using an already known maclaurin series. Each equation adds a degree and goes all the way to the fifth degree. Ex 5 use what we already know to write a maclaurin series (5 terms) for. Learn more about maclaurin series, tolerance level, m file coding. If you want the maclaurin polynomial, just set the point to $$$ 0 $$$. The maclaurin series was named after colin maclaurin, a professor in edinburgh, who published the special case of the. On forever so now let's write a general. The folder below contains the equations of each degree of the maclaurin series. Although modern calculators are able to show the expansions, it is worth learning them for basic functions such as sin x and cos x. A maclaurin series is a power series that allows one to calculate an approximation of a function. This is like the shortcut for taylor and.

How does a calculator work? how to write a series. So, without taking anything away from the process we looked at in the previous section, what we need to do is come up with a more general method for writing a power series representation for a function.